Высокоомный щуп к NWT

Alex Hoffman
Сообщения: 441
Зарегистрирован: 19 апр 2022, 12:01
Благодарил (а): 20 раз
Поблагодарили: 30 раз

Высокоомный щуп к NWT

Сообщение Alex Hoffman » 15 окт 2023, 16:29

chainik-4 писал(а):
15 окт 2023, 10:30
Не даете людям покоя...
Есть более универсальная фраза: "Я художник, я так вижу..." :lol:

chainik-4
Сообщения: 13
Зарегистрирован: 13 окт 2023, 19:29
Город: Набережные Челны
Имя: Ильдар
Благодарил (а): 1 раз
Поблагодарили: 5 раз

Высокоомный щуп к NWT

Сообщение chainik-4 » 15 окт 2023, 21:48

Запаял детали щупа на плату. Транзисторы, конечно, с АЛИ.
j310 - напряжение отсечки -4,05 В. При напряжении на затворе -2,2 В ток стока 8 mA. По этим данным соответствие справочнику полное.
Сопротивление резистора на стоке - 120 Ом.
Характерные точки графика, снятые NANOVNA:
2 МГц + 3,71 дб
17 МГц - 0 дб
20 МГЦ - 0,82
30 МГц - 3,4 дб
40 МГц - 5,2 дб
далее идет такой же пологий спад.
Вполне можно использовать для измерений на радиолюбительских диапазонах с калибровкой.
Буду рад, если у уникума с идеальными характеристиками образуется компания с аргументами...


Oleg
Сообщения: 396
Зарегистрирован: 22 окт 2019, 16:06
Позывной: R2AVB
Город: Москва
Имя: Олег
Благодарил (а): 56 раз
Поблагодарили: 120 раз

Высокоомный щуп к NWT

Сообщение Oleg » 15 окт 2023, 23:33

chainik-4,

Ильдар,

Вы совершенно правы. АЧХ высокоомного пробника по схеме Сергея Беленецкого весьма далека от идеальной.
Я его делал три раза (2 стенда для фильтров ПЧ и один пробник как таковой). Во всех случаях АЧХ имеет заметный спад с увеличением частоты.

Вот АЧХ пробника от 10 кГц до 100 МГц (предварительная калибровка выполнена на уровень 0 дБ, входное и выходное сопротивление прибора 50 Ом)
HiZ.jpg


Для сравнения привожу АЧХ высокоомного пробника на OPA858 от Oca103m

FET-Probe.jpg
Вот файлы от Оса103m (можно подвигать курсоры, изменить масштаб и т.д.)
HiZ.zip
(9.26 КБ) 512 скачиваний
FET-Probe.zip
(9.17 КБ) 513 скачиваний
Олег
R2AVB

Oleg
Сообщения: 396
Зарегистрирован: 22 окт 2019, 16:06
Позывной: R2AVB
Город: Москва
Имя: Олег
Благодарил (а): 56 раз
Поблагодарили: 120 раз

Высокоомный щуп к NWT

Сообщение Oleg » 15 окт 2023, 23:42

Криворукий,

Андрей,

Как я уже упоминал, я делал этот вариант схемы несколько раз (для стендов и как пробник), но не смог получить такой АЧХ как у Вас.
Возможно, я что-то делал не так своими кривыми руками :-(
В то же время на OPA858 АЧХ высокоомного пробника получилась довольно неплохой без каких-либо усилий.
Олег
R2AVB

Криворукий
Сообщения: 604
Зарегистрирован: 20 ноя 2019, 19:00
Город: Ленинград
Имя: Андрей
Благодарил (а): 160 раз
Поблагодарили: 174 раза

Высокоомный щуп к NWT

Сообщение Криворукий » 16 окт 2023, 19:05

Oleg, вскрыл пробник.

Вместо J310 запаян КП303Е, в остальном как у автора.
Вспомнил, что когда ставил J310 (с али), то на коллекторе T2 не мог выставить половину питания и возможно ещё по каким-то (не помню) причинам. По этому поставил КП303Е.
Пробник собран на 2х стороннем текстолите:
s1.jpg
s2.jpg
s3.jpg

chainik-4
Сообщения: 13
Зарегистрирован: 13 окт 2023, 19:29
Город: Набережные Челны
Имя: Ильдар
Благодарил (а): 1 раз
Поблагодарили: 5 раз

Высокоомный щуп к NWT

Сообщение chainik-4 » 20 окт 2023, 08:01

Oleg,
У меня получилась такая характеристика.
На входе щупа аттенюатор 10дб:
J310_-10db__100МГц.jpg
Здесь аттенюатор, как положено, с нагрузкой:
J310_-10db_100МГц.jpg
От горба до 30МГц совпадение с вашим графиком по затуханию полное. Для верности сравнивал с графиком на NANOVNA. График такой же. Разница по уровням примерно 1,5 дб. Скорее, погрешности настройки NWT от UR5FFR. Прибор самодельный, не от автора.
Может кому будет интересен график АЧХ истокового повторителя на BF998.
На входе конденсатор 1 пФ. Этот конденсатор со входной емкостью транзистора и емкостью монтажа образует делитель. Тут без делителя никак, поскольку более менее линейный участок входной характеристики транзистора около +-0,2 В. Максимальная амплитуда входного сигнала при емкости входного конденсатор 1 пФ примерно 1,4 В. Максимально допустимая - с увеличением гармоник - 3,5 В.
BF998-3.jpg
А это график с аттенюатором 20 дб на входе.
BF998-4.jpg

Oleg
Сообщения: 396
Зарегистрирован: 22 окт 2019, 16:06
Позывной: R2AVB
Город: Москва
Имя: Олег
Благодарил (а): 56 раз
Поблагодарили: 120 раз

Высокоомный щуп к NWT

Сообщение Oleg » 20 окт 2023, 20:38

chainik-4 писал(а):
20 окт 2023, 08:01
Может кому будет интересен график АЧХ истокового повторителя на BF998.
Ильдар,

Не могли бы Вы привести полную схему щупа с истоковым повторителем на BF998?

Заранее благодарен
Олег
R2AVB

chainik-4
Сообщения: 13
Зарегистрирован: 13 окт 2023, 19:29
Город: Набережные Челны
Имя: Ильдар
Благодарил (а): 1 раз
Поблагодарили: 5 раз

Высокоомный щуп к NWT

Сообщение chainik-4 » 21 окт 2023, 10:24

Oleg,
Щуп.jpg
Она ест на 2 - м посту темы.
Ссылка на сайт
https://pandia.ru/text/79/067/34384.php
Это не первоисточник. На первоисточнике еще было сказано о налаживании - подбором сопротивлений резисторов делителя R3,R2 установить напряжение на истоке 1 В. Это соответствует току через транзистор 20 mA. Я думаю, что надо установить ток 15 mA (падение напряжения на резисторе R4 около 770 mB) - половину предельно допустимого тока. Это повысит перегрузочную способность.
На этой схемы номиналы резисторов делителя указаны от балды. Да и резистор R1 к затвору полевого транзистора избыточно большой - для переменного тока достаточно 330 - 500 кОм. Неправильно подсчитано и передаточное отношение щупа. При емкости входного конденсатора 0,7 пФ и входной емкости транзистора 2,1 пФ, передаточное отношение емкостного делителя будет не 0,33, а 0,25. Еще надо умножить на передаточное отношение истокового повторителя, которое, в отличие от эмиттерного повторителя, существенно меньше 1. При значении S*R = 1, где S - крутизна полевого транзистора в mA/B, R - сопротивление в цепи истока в кОм, передаточное отношение равно 0,5. Крутизна транзистора BF998 около 20mA/B, резистор в цепи истока примерно 50 Ом, или 0,05 кОм. Итого 20 * 0,05 = 1. Итого - общее передаточное отношение - 0,125. Ослабление 8 раз. Это без учета емкости монтажа. При емкости входного конденсатора 1 пФ передаточное отношение без учета емкостей монжа будет около 0,167 - ослабление 6 раз без учета емкостей монтажа.
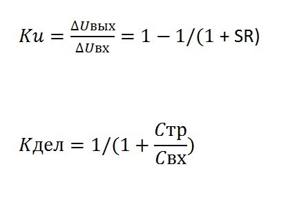
Формула.jpg
(10.08 КБ) 0 скачиваний
Верхняя формула - передаточное отношение истокового повторителя.
Здесь S - крутизна полевого транзистора в mA/B,
R - сопротивление резистора на истоке в кОм.
Нижняя формула - передаточное отношение емкостного делителя. Рассчитывается по входной емкости транзистора и емкости входного конденсатора.
Моделирование на MicroCap - е показывает, что еще нужен антипаразитический резистор на стоке, сопротивлением около 10 Ом.
Схема модели с номиналами:
BF998_.jpg
Исполнение у меня не совсем по фен шую. Нет антипаразитического резистора - моделировал позже. АЧХ достаточно ровная до 400 МГц.
Вид.jpg
На обратной стороне платы пара обычных резисторов. Плата - односторонняя.

chainik-4
Сообщения: 13
Зарегистрирован: 13 окт 2023, 19:29
Город: Набережные Челны
Имя: Ильдар
Благодарил (а): 1 раз
Поблагодарили: 5 раз

Высокоомный щуп к NWT

Сообщение chainik-4 » 21 окт 2023, 10:41

От величины сопротивления на 1-м затворе зависит нижний спад АЧХ. При емкости входного конденсатора 1 пФ и сопротивлении резистора на затворе 680к, спад АЧХ на 500 кГц - 0,2 дб, на 100 кГц - 3 дб.

chainik-4
Сообщения: 13
Зарегистрирован: 13 окт 2023, 19:29
Город: Набережные Челны
Имя: Ильдар
Благодарил (а): 1 раз
Поблагодарили: 5 раз

Высокоомный щуп к NWT

Сообщение chainik-4 » 23 окт 2023, 09:05

Как там в анекдоте:
- Почему нельзя заниматься сексом на Красной площади?
- Советами замучают!
Тем кто собирает щуп по схеме US5MSQ.
Надо подобрать полевой транзистор с током стока в рабочем режиме - напряжении на истоке около 2,5 В(Напряжению на затворе - 2,5 В) в
районе 3 ... 10. Такими характеристиками обладают транзисторы с напряжением отсечки - 4 В и больше.
Транзистор - тестер для оценки транзистора не подходит. Он замеряет только одно значение тока при определенном значении напряжения на затворе - это не напряжение отсечки.
Схема измерения очень простая. Нужны 2 источника питания и 2 мультиметра. Первый ставится на верхний предел измерения 10 - 20 В, второй - 100 - 200 mВ.
Измеритель.jpg
Напряжение 6,6 В соответствует напряжению исток-сток в схеме щупа.
Сначала надо установить максимальное минусовое напряжение на затворе. Перемещая движок переменного резистора вниз по схеме, найти точку, где напряжение U2 будет 1 mB. Это соответствует току 10 мкА - примерному напряжению отсечки - U1.
Далее находим напряжение на затворе, соответствующее току транзистора 3 ... 10 mA - напряжению на резисторе R3 300mB ... 1B. Если при напряжении U1 = - 2,5 В напряжение на резисторе R3 попадает в этот интервал, транзистор подходит.
Ели хотите измерить начальный ток стока, то надо следить, чтобы ток не превысил предельно допустимый ток через транзистор.
Если U1 для этого интервала оказался меньше(по абсолютному значению), например - 1,5 В. Не беда. Поднимаем потенциал
затвора делителем напряжения. Это допустимо, поскольку рабочий режим - разница потенциалов между затвором и истоком поддерживается обратной связью(конечно, не на 100%).

Щуп_US5MSQ.jpg
Рабочий режим транзистора устанавливается подбором резисторов делителя R1, R2. Несколько повысить усиление в области высоких частот можно зашунтировав резистор R5 конденсатором емкостью до 50пФ.

В качестве Т1 можно попробовать применить и BF998 с соответствующими цепями смещения.


2N3906_BF998.jpg
Напряжение на втором затворе должно быть выше напряжения на истоке на 4 В. Напряжение на 1 - м затворе примерно на 0,2 В ниже напряжения на истоке. Подбором сопротивлений резисторов R1 и R2 делителя устанавливается рабочий режим транзистора - напряжение на коллекторе VT2. Резистор R7 антипаразитный. Обязателен.
В данной схеме происходит модуляция сигнала напряжением на 2-м затворе. Это повышает коэффициент гармоник. (Это свойственно и истоковому повторителю). Но крутизна полевого транзистора по второму затвору мала. Еще эффект модуляции несколько сглаживает различие крутизны по первому затвору для положительной и отрицательной полуволны, характерное для BF998.
Схема щупа US5MSQ имеет хороший динамический диапазон и коэффициент передачи около 1, что для некоторых измерений важно. Верхняя граница АЧХ определяется характеристикой транзистора VT2, который должен иметь иметь рабочий ток не менее 100 mA. Возможная замена - КТ3107.

Ответить

Вернуться в «Измерения, приборы и софт»